大学の卒業式に行ってまいりました.
まぁ僕はまだ学部3年なので卒業ではないのですが,柔道サークルの先輩方を見送るという感じです.
なんだか寂しいですね.
僕も来年の卒業式で見送られるのかなぁ.
学会の実績割とあるので学群長表彰とか学類長表彰されるの少し狙ってます.
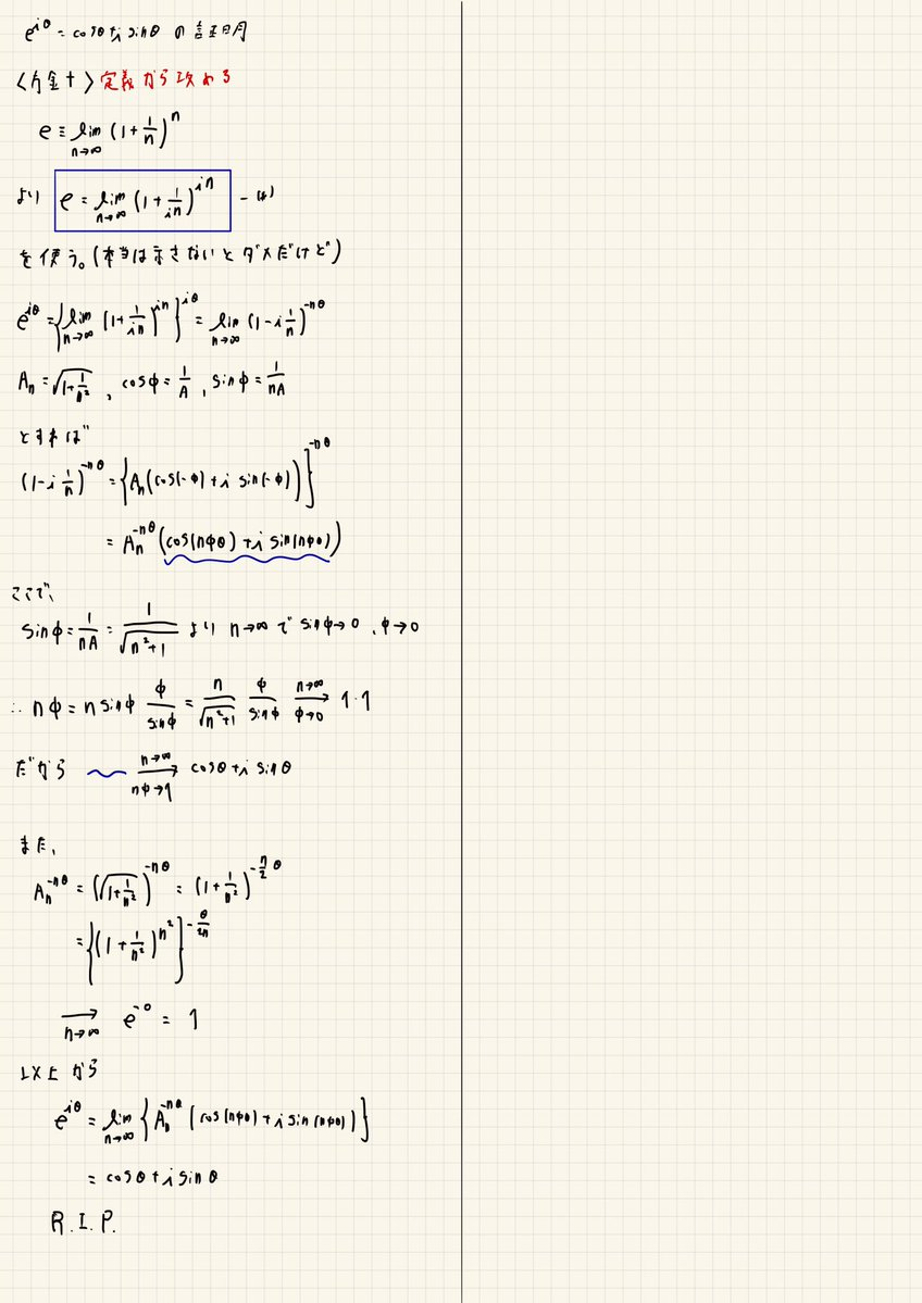
本日はかの有名な
これを高校数学のみで証明してみましょう.
一応証明終わってから調べてみたら,もっとスマートな証明が沢山あったのですが,これはウェリーちゃんの証明です.
お見苦しいながら,ご収差ください.
[証明]
を示す.
ここでとして
ド・モアブルの定理を用いて
ーーー①
について考えると,
ここでにおいて,
は極限まで0に近づくため,漸近的に
ーーー②
と表せる.
②を①に代入すると,
ーーー③
ここでなので,③式は
と表せる.
最後にAについて考えると,
なので,
[証明終了]
なんか証明終わってから答え合わせのように調べてみたら,wikiのド・モアブルを用いた証明に似てますね.
(追記)
友人からこの記事の証明に関してコメントもらったので,載せておきます.

僕もで
って近似が,自分の証明ながら物理みたいでムカついてたんですよね.
別解・間違ってるなどありましたらコメントください.